+86-571-82693216
info@chemyuhao.com
My Favorites
Not logged in
My Account
Sign in
New users?
Create one now.
Cart
You have not added any products to the cart
Go Shopping
Structure
Search history
No search history
Advanced search
Structure Search
Batch Search
COA Search
MSDS Search
118876-58-7
Home
About Us
Company Profile
Company Show
Products
Fine Chemicals
Polymer and Monomers
Electronic Chemicals
Functional Materials
Custom Synthesis
Custom Synthesis
Synthesis Procedure
Synthesis Capacity
Quality Control
Technology Development
Technology Development
Research Development
Flow Chemistry
Consulting Service
Material Research
Material Research
Polymer Materials
Impurity Studies
Functional Materials
News
Company News
Product Release
Industry News
Contact
Contact Us
Join Us
Inquiry
中文
En
Home
>
Category
Category
Fine Chemicals
Polymer and Monomers
Electronic Chemicals
Functional Materials
Category
All
All
JZ4426
2,2-dimethylvaleric acid
1185-39-3
RT14698
3-Hydroxy-2-methylpyridine-d3
1185315-05-2
RT2407
N-[(1S)-1-(Aminocarbonyl)-2-methylpropyl]-1-[(4-fluorophenyl)methyl]-1H-indazole-3-carboxamide
1185282-01-2
RT8077
2-Desethoxy-2-hydroxy-2H-2-ethyl Candesartan Cilexetil
1185256-03-4
RT8076
2-Desethoxy-2-hydroxy-1H-1-Ethyl Candesartan Cilexetil; Candesartan Cilexetil Impurity C; Candesartan Cilexetil EP Impurity C
1185255-99-5
RT3241
3-(2-Naphthalenylamino)alanine
1185251-09-5
RT3344
3-[(6-Acetyl-2-naphthalenyl)amino]alanine
1185251-08-4
RT11380
Caffeic Acid-13C3
1185245-82-2
RT7465
5-[[4-[2-((Methyl-d3)-2-pyridinylamino)ethoxy]phenyl]methylene]-2,4-thiazolidinedione; (5E)-5-[(4-{2-[(~2~H_3_)Methyl(pyridin-2-yl)amino]ethoxy}phenyl)methylidene]-1,3-thiazolidine-2,4-dione???
1185245-57-1
RT8725
(E/Z)-2-[2-(Cyclohexyl-d11)-2-(4-hydroxycyclohexyl)]vinylpyridine (Mixture of Diastereomers)?
1185245-16-2
RT4980
N-(4-Diethylaminobenzylideneamino)guanidine Acetic Acid Salt
1185244-51-2
RT13220
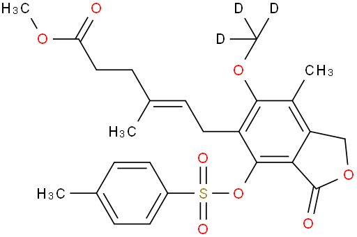
4’-Tosyl Mycophenolic Acid-d3
1185242-13-0
RT11302
Ethyl 3-(4-Fluorophenyl)-2-(2-methylpropionyl)propenoate-d6
1185241-64-8
RT14753
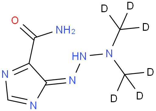
Dacarbazine-d6
1185241-28-4
RT13219
Methyl 4’-Tosyl Mycophenoate-6-methyl-d3
1185240-84-9
RT14790
Hymenialdisine-d4
1185240-30-5
RT11376
Formetanate-d6, Hydrochloride
1185240-24-7
RT14774
Stiripentol-d9
1185239-64-8
RT15153
Ranitidine N,S-Dioxide
1185237-42-6
RT3052
rac Fesoterodine-d14 Fumarate
1185237-08-4
Home
上一页
下一页
末页
No products in this category
Shrink
1046995685
Email
Skype
86-571-82693216
CS